Skip to main content
U.S. flag

An official website of the United States government

Here’s how you know

Dot gov

Official websites use .gov
A .gov website belongs to an official government organization in the United States.

HTTPS

Secure .gov websites use HTTPS
A lock (LockA locked padlock) or https:// means you’ve safely connected to the .gov website. Share sensitive information only on official, secure websites.

    • Environmental Topics
    • Air
    • Bed Bugs
    • Chemicals, Toxics, and Pesticide
    • Emergency Response
    • Environmental Information by Location
    • Health
    • Land, Waste, and Cleanup
    • Lead
    • Mold
    • Radon
    • Research
    • Science Topics
    • Water Topics
    • A-Z Topic Index
    • Laws & Regulations
    • By Business Sector
    • By Topic
    • Compliance
    • Enforcement
    • Guidance
    • Laws and Executive Orders
    • Regulations
    • Report a Violation
    • Environmental Violations
    • Fraud, Waste or Abuse
    • About EPA
    • Our Mission and What We Do
    • Headquarters Offices
    • Regional Offices
    • Labs and Research Centers
    • Planning, Budget, and Results
    • Organization Chart
    • EPA History

Breadcrumb

  1. Home
  2. Superfund
  3. Cleaning up Sites
  4. Superfund Site Assessment

Section 12: Surface Water - Drinking Water Threat

Section 12 Contents
  • Waste Characteristics
  • Targets
  • Actual Contamination
  • Potential Contamination
  • Nearest Intake
  • Population
  • Resources
  • Questions and Answers

12.1 Waste Characteristics

Two Hazard Ranking System (HRS) values are needed to calculate waste characteristics.

  • The highest product of toxicity and persistence for any substance available to the surface water migration pathway.
     
    • These are substances that are found in a source with a non-zero containment value against either overland flow or flood, or substances that are found in an observed release to surface water.
       
  • The quantity value from HRS Table 2-6, based on the sum of the quantities for all sources that have a non-zero containment value against either overland flow or flood.

Assign Toxicity and Persistence

  • You will find these values in Superfund Chemical Data Matrix (SCDM). Section 2.4.1.1 of the HRS describes how the toxicity values in SCDM were derived. Section 4.1.2.2.1.2 describes how the persistence values were derived. If SCDM does not contain values for a substance that is critical to your site, contact EPA.
  • There are two persistence values for each substance in SCDM: one for lakes and the other for rivers, oceans, coastal tidal waters, and the Great Lakes.
     
    • In rivers, oceans, coastal tidal waters, and the Great Lakes, flows and tides are assumed to carry a substance to the target distance limit more quickly than in lakes. The assigned values for "River" or "Lake" are based on half-life calculations that include hydrolysis, biodegradation, photolysis, and volatilization as loss mechanisms. For substances that tend to sorb and be preserved in the sediments, a low persistence value based on half-life is over-ridden by a persistence value based on the octanol/water partition coefficient.
       
  • Select "River" or "Lake" based on the predominant water body type between the PPE and the nearest intake.

Calculate Hazardous Waste Quantity

  • Sum the quantity values for all the sources that have a non-zero value for containment against either overland flow or flood.
     

    • Sources that have a zero value for containment generally meet RCRA closure standards and are treated as though they did not exist in the HRS assessment — no quantity, no hazardous substances, no distance measurements.
  • Enter this sum in HRS Table 2-6 and select the value for hazardous waste quantity for the surface water migration pathway. The same value is used for all three threats.
     
    • Remember that the minimum value of 100 is used if any target, in any of the three threats, is subject to actual contamination.
       
    • Also remember that the minimum value of 100 is used when there has been a qualifying removal at the site, and when the quantity value before the removal was 100 or greater.
       
    • Carefully examine the supporting documentation for any sum of source quantities that fall near a breakpoint in HRS Table 2-6. A change in value here can triple the drinking water threat score or reduce it to one third.
       

Calculate the score for waste characteristics.

  • Multiply the value for toxicity/persistence by the value for hazardous waste quantity, cap the product at 108, and find the score for waste characteristics from HRS Table 2-7.
     
  • An unknown quantity of PCBs has been deposited into a wetland that is contiguous to a river and reservoir and has been shown to be present at observed release levels. The toxicity and persistence values (both river and lake) for PCBs are 10,000 and 1, respectively.

12.2 Targets

Nearest Intake + Population

  • Actual Contamination: Level I or Level II
     
  • Potential Contamination + Resources
     
    • The nearest intake factor evaluates the maximally exposed individual drinking surface water.
       
    • The population factor evaluates the number of residents, students, and workers served by surface water intakes within the TDL.
       
    • Resources evaluate uses of surface water other than for drinking water. 

12.3 Actual Contamination

The surface water in-water segment is broken into zones of actual and potential contamination based on sampling points.

  • If a sampling point (aqueous, sediment, sessile benthic tissue) meets observed release criteria, including attribution to the site, all drinking water and environmental target between that point and the PPE are considered subject to actual contamination. For the human food chain threat, further constraints are added to this principle.
Persistence

The zone of actual contamination is broken into zones of Level I and Level II concentrations, based on whether the substances that meet observed release criteria also meet or exceed a drinking water benchmarks in SCDM.

  • Go to the most downstream (or farthest away) sample with substances that meet observed release criteria and that also meet or exceed a drinking water benchmark either individually or in the aggregate (the I or the J index). See also pages 158-159 of the HRS Guidance Manual for additional discussion. 
    • All intakes from this point back to the PPE are considered subject to Level I concentrations.
       
    • Note that the drinking water benchmarks are in aqueous units (ug/l). Only aqueous samples can establish Level I concentrations. This is considered protective because most people do not drink the sediments.

  • Continue downstream (or farther away) to the farthest sample that meets observed release criteria, but fails to have any substances that meet or exceed a drinking water benchmark either individually or in the aggregate.
     
    • All intakes that lie between this point back to the zone of Level I are considered subject to Level II concentrations. Level II concentrations are also assigned for observed releases established by direct observation.
       
    • Any intakes that lies beyond the most downstream (or farthest) observed release sample, but still lie within the TDL are considered subject to potential contamination.
       
    • Although the 15-mile TDL can be extended by samples that document actual contamination, potential contamination is never extended beyond the 15 miles.

12.4 Potential Contamination

Any target not subjected to actual contamination, but within the TDL is subject to potential contamination.

Targets subject to potential contamination are evaluated using dilution weights based on the flow rates of surface water bodies, HRS Table 4-13.

  • In rivers, as the stream flow increases by an order of magnitude, the value of the targets subject to potential contamination decreases by an order of magnitude. Intakes that lie on large rivers can get very low HRS values even though they supply large populations.
     
  • Notice, however, the last entry in HRS Table 4-13. When an intake lies within 3 miles of the PPE and the river reach between the PPE and the intake can be described as "quiet flowing" (laminar flow, non-turbulent, not much mixing, probably silted bottom, etc.) the intake is assigned a dilution weight of 0.5.
     
  • For lakes or reservoirs, assign a dilution weight as described in HRS Section 4.1.2.3.1.

The best data for average annual stream flow is from USGS gauging stations which are frequently located at dams, bridges, and intakes. Where this data are unavailable for an intake that is the target of potential contamination, the HRS Guidance Manual, Highlight 8-21, page 233 suggests a number of sources of information.

Pages 233-239 of the HRS Guidance Manual also suggests a number of methods of estimating average annual stream flow at targets.

  • On small streams with relatively small watersheds the method suggested on page 238 of the HRS Guidance Manual may be particularly helpful. Be aware that this method assumes a homogeneity of drainage throughout the watershed represented by the gauging station. Similarly, if the average annual runoff for an area is mapped and the acreage of the watershed is measured, acre-inches per year of runoff can easily be converted into cubic-feet per second of average annual stream flow.
     
  • Do not use instantaneous measures of stream flow; for instance, stream flow observed during the site inspection.

12.5 Nearest Intake

Highlight 8-32, page 263 of the HRS Guidance Manual provides numbers, like 82,500, that are well worth remembering. These numbers are used in all pathways, with one exception: for the soil exposure component, the minimum value for quantity never rises above 10.

Apply the 50, 45, or 20 and dilution weight sequentially:

  • 50, if any intake is subject to level I
     
  • 45, if no Level I, but an intake is subject to Level II; and
     
  • 20 and dilution weight if no intakes are subject to actual contamination.

Standby intakes may be considered for this factor only if they are used for supply at least once a year. Note the similarity of "nearest well" in the ground water migration pathway.


12.6 Population

  • If you cannot remember how many points are assigned to each person at Level I, Level II, and potential, press this button. HRS Guidance Manual, Highlight 8-32, page 263.
     
  • The principles of including residents, workers, and students and of assessing blended supply systems and standby intakes are the same as they were for the ground water migration pathway.
     
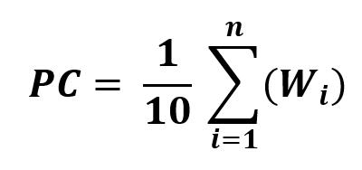
  • Examine the following HRS formula for the potential contamination factor value carefully:
     

    PC equals one tenth the sum of Wi for n-quantity of surface water bodies

                        
    Where, Wi = Dilution-weighted population from table 4-14 for surface water body type i. 

                     n = Number of different surface water body types in the watershed.

    HRS Section 4.1.2.3.2.4

  • If there are two or more intakes within the same type of surface water body (e.g., average annual flow of greater than 1,000 to 10,000 cfs), sum the population served by these intakes before entering HRS Table 4-14.
     
  • When you exit HRS Table 4-14 with the dilution weighted values for population for the different dilution categories, no not forget to multiply the sum by 1/10 for potential. The tables in the PA Guidance Manual do this for you. You're expected to remember these things when you graduate to the HRS itself.
     
  • Finally, the text in HRS Section 4.1.2.3.2.4 that follows the formula states a quirky rounding rule that applies to potential targets throughout the HRS: "If PC is less than 1, do not round it to the nearest integer; if PC is 1 or more, round to the nearest integer. Enter this value for potential contamination in Table 4-1." This rule prevents small target values from disappearing through rounding.
     
  • This section illustrates a basic HRS principle: Read the small print or it will trip you up every time.
  • Because intakes are frequently on rivers or lakes with large average annual stream flow, the HRS values for potential contamination may be very low unless the criterion of "quiet flowing river" applies. Be on the lookout also for situations where there are intakes supported by relatively small stream flow. For instance, a small reservoir with total inflows of less than 100 cfs can support populations of 10,001 to 30,000 people.

12.7 Resources

Frequently, the only targets for the drinking water threat are resource uses. This may be because intakes are usually massive in terms of population served and are, therefore, relatively few and far between compared to wells. Because the surface water resource factor receives only 5 target points, this factor generally has little impact unless the site score is near the cutoff score. On the other hand, documenting this factor is generally easy HRS Guidance Manual, Highlight 8-45, page 290.

Note the emphasis on the word "commercial" when documenting resource uses. Commercial food preparation refers to such things as canneries, rather than restaurants. Remember that a water slide or community pool may be a "major or designated water recreation area."

State designation of usability under Section 305(a) of the Clean Water Act is an easy-to-document resource use that may be overlooked.


12.8 Questions and Answers

If the nearest intake is 5 miles down the river and 2 miles across the reservoir, should you select "River" or "Lake?"

River. Although the intake itself is on a lake (reservoir), 5 of the 7 miles from the PPE is in the river.

An unknown quantity of PCBs have been deposited into a wetland that is contiguous to a river and reservoir and has been shown to be present at observed release levels. The toxicity and persistence values (both river and lake) for PCBs are 10,000 and 1, respectively. Calculate the score for waste characteristics for the drinking water threat.

32. Hazardous waste quantity is unknown but shown to be greater than zero by the documented contamination. Therefore, the value from HRS Table 2-6 is 1. This value is over-ridden by the minimum value of 100 because a target in the surface water migration pathway, the wetland, is subject to actual contamination. 10,000 (toxicity) x 1 (persistence) x 100 (quantity) = 10xE6. The score from Table 2-7 is 32.

Is intake #1 subject to actual or potential contamination? Intake #2? Would the "river" or "lake" value for persistence be used for the drinking water threat?

Intake #1 is subject to actual contamination because it lies within the zone of actual contamination defined by the observed release sample. Intake #2 lies beyond that sample but within the TDL and is considered subject to potential contamination.

What HRS target value would such an intake receive?

165 or 170. 2 points for nearest individual (20 x 0.1 for dilution) and 163 points for population (1,633 x 1/10 for potential and rounded. Another 5 points is possible if any resource values can be documented for the water supply system, for instance, a community pool.

Continue to Section 13: Surface Water Pathway - Human Food Chain Threat


Navigate to another section of the course:

Section 1: Regulatory Context of the Hazard Ranking System

Section 2: Site Assessment Process

Section 3: HRS Structure

Section 4: Source Characterization

Section 5: Waste Characteristics

Section 6: Likelihood of Release

Section 7: Targets

Section 8: Groundwater - Aquifers

Section 9: Groundwater - Likelihood of Release

Section 10: Groundwater - Waste Characteristics & Targets

Section 11: Surface Water - Likelihood of Release

Section 12: Surface Water - Drinking Water Threat

Section 13: Surface Water - Human Food Chain Threat

Section 14: Surface Water - Environmental Threat

Section 15: Surface Water - Ground Water to Surface Water Component

Section 16: Air - Likelihood of Release

Section 17: Air - Waste Characteristics & Targets

Section 18: Soil Exposure - Resident Population Threat

Section 19: Soil Exposure - Nearby Population Threat

Section 20: Radionuclides

Superfund

  • Learn About Superfund
    • What is Superfund?
    • Site Search
    • Cleanup Process
    • Superfund History
    • Success Stories
    • Superfund: CERCLA Overview
  • Community Involvement
    • Technical Assistance for Communities
    • Community Involvement Tools and Resources
    • Community Advisory Groups (CAGs)
    • Citizen Excellence in Community Involvement Award
    • Training and Professional Development
    • EPA Regional Superfund Community Involvement Contacts
  • Cleanup Support
    • Training and Learning Center
    • Remedy Resilience
    • Superfund Green Remediation
    • Superfund Cleanup Optimization
    • Natural Resource Damages
    • Superfund Remedial Program in Indian Country
  • Accomplishments & Benefits
    • Benefits to Communities
    • Accomplishments
    • Performance Measures
    • Human Exposure Dashboard
  • Cleaning up Sites
    • Superfund Site Assessment
    • National Priorities List
    • Remedial Investigation/Feasibility Study
    • Remedy Decisions
    • Remedial Design / Remedial Action
    • Post Construction Completion
    • National Priorities List Deletion
    • Superfund Site Reuse/Redevelopment
  • Contaminants at Superfund Sites
    • Asbestos
    • Dioxin
      • Risk Assessment for Dioxin at Superfund Sites
    • Lead
    • Radiation
    • Soil Bioavailability
  • Contaminated Media at Superfund Sites
    • Abandoned Mine Lands
    • Contaminated Sediments
    • Groundwater
    • Soil Screening Guidance
  • Policy, Reports & Other Documents
    • Policy, Guidance, Laws
    • Superfund Data and Reports
    • Find Superfund Documents
    • Superfund Glossary
Contact Us About Superfund
Contact Us About Superfund to ask a question, provide feedback, or report a problem.
Last updated on March 26, 2026
  • Assistance
  • Spanish
  • Arabic
  • Chinese (simplified)
  • Chinese (traditional)
  • French
  • Haitian Creole
  • Korean
  • Portuguese
  • Russian
  • Tagalog
  • Vietnamese
United States Environmental Protection Agency

Discover.

  • Accessibility Statement
  • Budget & Performance
  • Contracting
  • EPA www Web Snapshot
  • Grants
  • No FEAR Act Data
  • Plain Writing
  • Privacy and Security Notice

Connect.

  • Data
  • Inspector General
  • Jobs
  • Newsroom
  • Regulations.gov
  • Subscribe
  • USA.gov
  • White House

Ask.

  • Contact EPA
  • EPA Disclaimers
  • Hotlines
  • FOIA Requests
  • Frequent Questions
  • Site Feedback

Follow.